圆形料管翻领成型器
发布时间:2020/5/30 14:46:19
修改时间:2022/8/23 16:20:01
发布者:温州裕东
联系电话:15858518818
关键词:温州裕东、圆形料管、翻领成型器
描述:翻领成型器具有内外曲面,薄膜与它相对运动时,可强制薄膜按其内外曲面形状变成。使平张薄膜逐渐卷曲成圆筒状,要求该成型器在拉膜时使薄膜不产生纵向与横向拉伸变形,而且使薄膜与成型器之间的摩擦阻力尽量小,不跑偏、不卡塞,制出外形平整美观,符合尺寸要求的袋。
翻领成型器具有内外曲面,薄膜与它相对运动时,可强制薄膜按其内外曲面形状变成。使平张薄膜逐渐卷曲成圆筒状,要求该成型器在拉膜时使薄膜不产生纵向与横向拉伸变形,而且使薄膜与成型器之间的摩擦阻力尽量小,不跑偏、不卡塞,制出外形平整美观,符合尺寸要求的袋。
以加料管截面形状不同可分为圆形及方形截面料管的翻领成型器。这里介绍用解析作图法作成型器领口交接曲线的方法,一但有了领口交接曲线,无疑对于成型器的设计制图,薄板放样,成品检验将带来许多有利之处。在本设计计算中假定:包装材料走上成型器被卷曲前先在同一平面内,材料的张紧变形,包装材料的厚度,成型器与加料管之间的间隙均可忽略不计;计算中暂不考虑枕式袋的搭接,对接封口缝的尺寸。


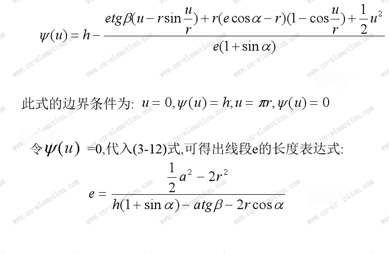
图3.19是这种成型器的计算图,以圆形料管的轴线oz为轴,取直角坐标oxyz,则料管与xoy平面相交的截交线是以r为半径的一个圆,图中直线AB是包装材料从最后一根导辊引出后与成型器的接触线,ABC构成平面等腰三角形,它与xoy平面的夹角为α,D是AB的中点,故∠ACD=∠BDC=β,ACS与BCS构成两侧的两个对称曲面,SCS为成型器领口交接曲线,S是该曲线的最低点,位于x轴上,C为该曲线的最高点,它在xoy平面上的投影是N点,且在x轴上。
为推导计算上的需要,使AC延长至T点,DC延长至T',作T'E平行于ox轴,TT'平行于oy轴,CE平行于oz轴,由此得∠CET'与∠CT'T均为直角,且三角形CT'T与三角形ABC在同一平面上,三角形CET'在xoz平面上,P是领口交接线上任意一点,连PT,令PT=f,CT'=e,P点在xoy平面上的投影为Q点,弧长NQ=u,P点的高即为交接线的函数,C点是的中点,C处的高CD=h。




由此可见,设计中若能首先确定料管半径r,翻领三角形ABC的顶角之半β、翻领的后倾角α及成型器领口交接曲线的最大高度h,则e值可以求得,再利用式(3.12)算出与每一段弧长U对应的在交接曲线上各点的高度,便不难连出领口交接曲线。
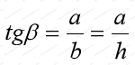
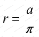
参数r、β、α、h的确定必须满足包装工艺上的要求,分述如下。1.圆形料管的半径r
设:a为折后的包装空袋宽度,则2a=2πr,所以
与三角成型器安装α角一样,α角度大则薄膜通过成型器的成型阻力亦大,但结构尺寸小,包装机总体尺寸就紧凑,α角度小则相反,生产实践中翻领成型器的后倾角α取用范围较大,在0°~60°之间。
c.翻领三角形平面的形状尺寸
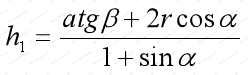
由图3.19中可见,三角形ABC的形状尺寸由三角形底边AB和高CD或顶角∠ACB来决定,底边AB=AD+DB=2a与袋子的尺寸有关,DC是包装材料在三角形平面上的长度,三角形成型器设计中曾假定DC=b,这三角形平面从导辊到成型器最高点C开始翻折成型之前用来引导及承载包装材料的。b的长短反映了引导面的大小,b太短起不了引导与承载薄膜的作用,造成薄膜在交接曲线附近成型阻力过大,易拉伸变形,b太长又导致成型器结构不紧凑,且不一定全能用来承载薄膜,反而因引导面的过大而增加了薄膜与成型器表面间摩擦面长度,设计中建议取b=h。
则:

d.领口交接曲线的最大高度h
领口交接曲线是一条空间曲线,它的最低点到最高点之间在z轴方向的距离称为最大高度h。对某一既定r、α和β参数的翻领成型器,它的领口交接线最大高度h与线段的长度具有函数关系,参见式(3-14)当e值由0→∞变化时,h则由较大值逐步变小,起初h随e的变化较大,随后h随e的增加变化越来越小,以至趋向一定值。h与e的关系如图3.21所示。

由此可见,图3.21上线段e的长短直接关系到交接线最大高度h的大小,当e值取得较大时,h较小,成型器较矮,但使包装材料在成型时变形急剧,成型阻力较大,不利于制袋,当值取得较小时,h较大,成型阻力较小,但成型器较高,结构不紧凑。加料管悬壁越长,受力情况恶化,这给制造及使用都带来困难。

图3.21 h-e关系曲线

为了不使成型器过大,h通常在h2计算值附近取整数。
本文由网络转载,仅供给袋式包装机爱好者研究学习,若涉及侵权,请联系客服删除。
|
上一条:
象鼻成型器的折叠成型示意图
|
下一条:
方形料管翻领成型器
|


