料袋牵引装置
发布时间:2020/6/21 9:22:45
修改时间:2022/8/23 16:20:01
发布者:温州裕东
联系电话:15858518818
关键词:料袋牵引装置、温州裕东
描述:制袋式袋装机工作时,使包装材料与制袋成型器产生相对运动而造成包装材料卷折的是料袋牵引装置。此外,它又能使料袋顺序地通过一个个工位,使料袋完成加料,整形,排气,封口和切断等工序。
1.类型
包装工艺上对料袋牵引装置的要求是:能按时,按预定量拉过定长的料袋,根据需要并能在一定范围内任意调节拉过料袋的长度,料袋的速度应能控制,前述的翻领成型器制袋式袋装机及象鼻成型连续制袋式袋装机中的料袋牵引装置均非专设的,往往与其它机构结合在一起,有的与横封机构合一;有的与纵封机构结合。但均能符合上述提出的一些工艺要求,此外还有如下介绍的一些结构类型。
(1)滚轮牵引式
图5.63所示,用于连续式袋装机,纵封辊与牵引辊各司其职,机能分开,并且两辊都是冷辊,包装薄膜首先受牵引辊牵引,被热板或吹出的热空气加热封合,这样的牵引装置使单层塑料薄膜也有可能在连续运动制袋式袋装机上得到使用。

图5.64所示该牵引装置的夹、放及上、下运动,横封热封件仅作张开与闭合的动作,使热封与牵引错开进行,避免了横封缝受热后怕受拉力的不利情况,且使横封与纵封时间重合,可统一考虑加热时间,有利提高生产能力,保证封缝质量。
(3)气吸牵引式
图5.65所示,利用真空吸头的吸力吸住成型器料管外壁薄膜,拉料袋向下运动达预定长度后真空解除,吸头向上返回,这样吸头吸袋牵引的工作区间都在料袋长度范围之内,横封器就可较近的设置在料管下端附近,使整机总体高度降低。

(4)摩擦牵引式
图5.66所示,利用间歇运动的摩擦将包装薄膜压紧在方形料管上,靠摩擦带与薄膜间产生摩擦力推送料袋向下运动,主动带轮间歇回转可用步进电机或伺服电机驱动,也可由普通电机采用电磁离合器控制配合的驱动。
2.牵引计算
(1)真空吸引力
真空吸头可产生的真空吸引力由下式表达
式中: P0—标准气压;
P—吸头内压强;S—吸头总吸附面积。
真空吸头吸附着料袋靠两者间产生的摩擦力克服成型器,导辊等对包装材料运动的总阻力,则有:
式中: FM—料袋与真空吸头间产生的摩擦力;
f—料袋与吸头间材料系数;
PZ—对料袋运动产生阻力的合力,可通过估算或具体测试获得。如果在刚性内圆周面上的吸嘴,应考虑吸嘴吸住料袋部分失效情况。加入利用系数k,实际应用中还得考虑安全系数n,则有:
式中: k—利用系数,取0.5~0.8;
n—安全系数,取2~3。
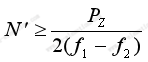
(2)摩擦牵引力
摩擦带工作时紧边拉力可由下式计算
摩擦带对料袋的摩擦力满足下式才能牵引料袋与包装材料

f2——料袋与料管管壁之间摩擦系数;
N'——调压装置通过带施加料管的正压力;
PZ——成型器、导辊等对料袋运动的阻力;
则所需正压力
摩擦带才能转动自如,亦即
考虑到皮带传动的效率η所需输入磨擦带使之正常工作的功率。

f——摩擦带与轮子之间的摩擦系数;
v——摩擦带线速度。
实际使用中也应考虑安全系数n=2~3左右。
本文由网络转载,仅供给袋式包装机爱好者研究学习,若涉及侵权,请联系客服删除。
|
上一条:
料袋的切断装置
|
下一条:
浓情夏日周末,当夏至碰上父亲节
|


