浏览量:
1872
给袋式包装机六工位转盘的结构设计
发布时间:2020/11/9 13:41:01
修改时间:2022/8/23 16:20:01
发布者:温州裕东
联系电话:15858518818
关键词:
描述:
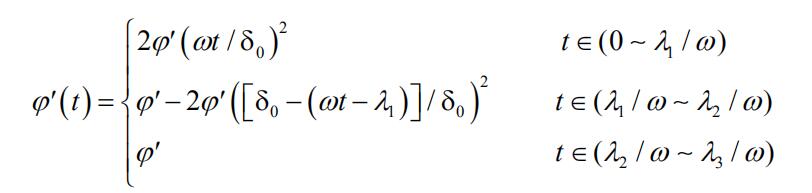
根据给袋式包装机包装作业流程可知,六工位转盘是给袋式包装机包装作业过程的主要执行载体,六工位转盘及机夹的设计,可得转盘零件图如下图所示。图中六个角上都有两个24 的圆孔,作为机夹摆杆的转动中心,两个转动中心分属于相邻两个工位摆杆的转动中心,与相邻另一角上的转动中心组对,实现对称机夹夹手结构。六工位转盘在给袋式包装机作业流程中是间歇式运动机构,采用的是凸轮分度机构驱动,每一次转动 60,速度较快,时间较短,故选取等加速等减速运动规律作为转盘转角的运动规律,且没有回程运动,则:
给袋式包装机六工位转盘零件
本文由网络转载,仅供给袋式包装机爱好者研究学习,若涉及侵权,请联系客服删除。
|
上一条:给袋式包装机六工位转盘机构装置 |
下一条:给袋式包装机转盘凸轮机构 |


