浏览量: 670
给袋式包装机双摇杆机构的分析
发布时间:2020/11/23 14:38:52
修改时间:2022/8/23 16:04:12
发布者:温州裕东
联系电话:15858518818
关键词:
描述:
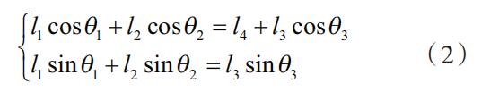
以给袋式包装机双摇杆机构 FGHJ 为例,采用矢量法建立的机构数学分析模型如图1所示,各矢量杆形成封闭的矢量多边形 FGHJF,构件 FG、GH、HJ、JF 对应的杆长、方位角、矢量杆分别为 li、θi 和li→(i=1,2,3,4)。

图1:双摇杆 FGHJ 机构的数学分析模型
封闭矢量多边形中,各矢量之和等于零,
H 点的位移方程:

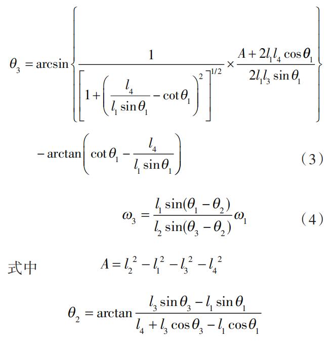
对上式进行推导、整理,可求得摇杆 HJ 的输出转角θ3、输出转速ω3 与摇杆 FG 的输入转角θ1、输入转速ω1之间的数学关系:
基于
给袋式包装机双摇杆机构FGHJ的分析流程,可建立各子机构的运动学模型;基于各子机构的运动学模型,可综合得到二次上袋机构的运动学模型,进而分析机构的运动规律、机构特性,优化给袋式包装机上袋机构尺寸。
本文由网络转载,仅供给袋式包装机爱好者研究学习,若涉及侵权,请联系客服删除。
|
上一条:
给袋式包装机连杆机构设计
|


